發酵罐為什么要配置質量流量計
目前在小試設備上大多會采用轉子流量計,首先解釋下轉子流量計的工作原理:
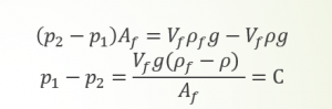
轉子流量計是由錐形桶和金屬或其他材質轉子組成,由轉子的位置讀出刻度上的流量。對轉子進行受力分析,轉子垂直方向上受到自身重力mg,界面1-1和界面2-2的壓力合力以及浮力。當轉子穩定時,

其中p1和p2為界面1和2處的壓力,Af為轉子的等效截面積,Vf為轉子體積,ρf為轉子密度,ρ為氣體密度,g為重力加速度,由公式1可以推導出公式2,為定值C。

由氣體流速方程,推導出體積流量與氣體密度的1/2次冪成反比(轉子密度遠大于氣體密度,認為ρf-ρ=ρf)。轉子流量計上刻度是根據在特定溫度和壓力下的體積流量,當我們無法測量轉子內壓力和溫度時,就無法得到轉子流量計的實際流量。
在實際發酵過程中,空壓機是間歇性打壓,空氣總管會出現較大的壓力波動,因此,即使不對流量進行調整,實際流量也在變化,隨之導致罐壓的改變,這一點在溶氧曲線上可以體現出來:

這些小的鋸齒就是壓力變化導致的溶氧變化。

質量流量計就沒有這種現象。
熱式質量流量計(Thermal Mass Flowmeters,簡稱TMF),是由測量部分和控制部分組成。其原理是通過測量氣體流經流量計內加熱元件時的冷卻效應來計量氣體流量的。氣體通過的測量段內有兩個熱阻元件,其中一個作為溫度檢測,另一個作為加熱器。溫度傳感元件用于檢測氣體溫度,加熱器則通過改變電流來保持其溫度與被測氣體的溫度之間有一個恒定的溫度差。當氣體流速增加,冷卻效應越大,使須保持熱電阻間恒溫的電流也越大。此熱傳遞正比于氣體質量流量,即供給電流與氣體質量流量有一對應的函數關系來反映氣體的流量。控制部件是比例調節閥,內部電路會根據設定值來控制調節閥開度,使得輸出流量與設定值相等。換句話說,質量流量計輸出的流量可以直接(已經在系統中換算)換算成標況(0℃,101kPa)流量,在其控制范圍內,能消除上游壓力變化影響,保證下游壓力相同。最重要的是,質量流量計輸出了準確的流量,可以得到mol流量,為OUR、CER的計算提供基礎,不同批次不同規模之間有了統一的標準,可以進行對比。
已經配置我們的帶有質量流量計的發酵罐產品用戶可以自己做一個實驗:在發酵過程中,使用質量流量計控制,緩慢關小無菌空氣進發酵罐的隔膜閥,會發現在一定范圍內,質量流量計顯示沒有變化,而轉子流量計卻有明顯的讀數下降。罐壓卻沒有明顯改變。其原因就是,關小隔膜閥使得轉子流量計管路壓力升高,質量流量計為了保持流量不變,繼續開大比例調節閥維持原來流量。管路壓力變化使得轉子流量計在流過相同的標況體積流量的氣體時讀數下降。基于以上原因,我們推薦采購小試反應器的客戶配備熱式質量流量計控制和測量。目前我們選用的品牌測量精度可以達到滿量程的0.5%或更高。
通常情況下,我們僅僅利用質譜檢測空氣中4種組分:氮氣、氧氣、氬氣和二氧化碳。這四種組分幾乎占了100%的空氣組成,其余組分超過1ppm濃度的總和只有不到30ppm,唯一不確定因素就是水蒸氣。水蒸氣在空氣中分壓比例可達4%,但是通常情況下,為了保護空氣過濾器,空氣經過空壓機壓縮還要通過冷干機除水。因此進氣中空氣含水量會低于0.1%(mol/mol),而尾氣中大量的水分不參與尾氣組分計算。由此看來,僅僅利用質譜檢測空氣中4種組分不會帶來超過0.1%的系統誤差。
質量流量計也有自己的缺點,進液體容易損壞,因此,在使用過程中要防止消毒蒸汽壓入空氣管道。另外,質量流量計不能提供太大量程,工業應用上一般采用渦街流量計,并進行溫度壓力補償轉換為標準流量。

